The Mathematical Magic of Morning Coffee
The Mathematical Magic of Morning Coffee
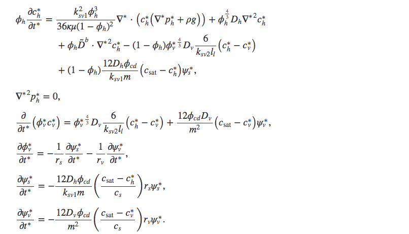
There's something magical in the morning's first sip of coffee. You can taste the variables: blueberry from the volatile aromatics of a natural process Ethiopia, the rich chocolate of a washed Nicaragua, the sweet fullness of an even extraction clearing 20% TDS. I often wonder how I would express this mathematically. Is my cup of Joe a simple function of brew method and the bean used? Or to put another way, can we say f(joe) = m*b where m is the brew method, b is the bean, and joe is extraction? But the method and the bean are complex functions in themselves, having inputs like temperature, grind size and evenness, terroir, soluability, and more. Complex fluid mechanics are needed to sus out the effects of percolation vs immersion, and equations like Newton's law of cooling can be inserted to understand heat loss over time. From this more complete understanding, we can put together an even more complex formula, such as this differential equation described by Kevin Moroney et al.

It accounts for things like permeability, fluid velocity, tortuosity, and more.
But even this is just scratching the surface.
It's easy to think of mathematics and computer science as cold, dull, tedious. Even the term "calculating" is used as a pejorative to describe someone devoid of emotional considerations. But math can be every bit as beautiful as the things it describes. In applying math to my morning coffee, I move from a sense of delight in the flavors and aroma to a sense of outright awe at the complexity of the liquid in my cup. I see a living dance of impossible chances coming together to form a singular, ephemeral experience, never to be replicated. It is poetry, expressed in high-order multivariate functions and vector spaces. These endless pursuits of understanding, the passion to know in an empirical way what it means to pour water over the seeds of a shrub and drink its magic liquid are a part of what it means to be human. Or, to quote Dead Poets Society, "These are the things we stay alive for."